Na dnes sme si pre vás pripravili nie práve najbežnejší článok týkajúci sa pevných diskov. Tých je na trhu viac než dosť, či už interných alebo externých, no zďaleka nie je disk ako disk. Keďže sa už pár rokov venujem spracovávaniu videa a disky mením a dopĺňam pomerne často, doma sa mi ich nazbieralo vcelku dosť a tak som sa sa rozhodol pre menšie porovnanie.
Pôvodne bola plánovaná recenzia na externé disky Western Digital My Book Studio, čo sú externé disky výrobcom priamo propagovaná, ako disky pre Mac. Ako som už ale spomenul, tých diskov vlastním viac, rôznych veľkostí a parametrov, takže som vybral 9 rôznych modelov a vzájomne ich pomocou aplikácie Geekbench porovnal. Ako iste viete, nie je disk ako disk a okrem klasických, bežne dostupných 1.8″-3.5″ diskov, sa už nejakú tú dobu predávajú aj SSD disky či disky hybridné, ktoré kombinujú klasické platne s Flash pamäťou. Takým je napríklad Seagate Momentus XT, ktorý sa ale v teste neobjavil. To ale nie je všetko a disky sa okrem veľkosti a technológie líšia aj inými parametrami. U tých klasických to sú hlavne otáčky, ktoré čo-to o výkone disku hovoria a najbežnejšie sú 5400 a 7200 otáčkové disky. Väčšinou platí, že 7200-otáčkový disk je výkonnejší ako 5400, no zároveň vie byť hlučnejší a viac „vibruje“. To ale neplatí vždy a už som sa neraz stretol s 5400-otáčkovým diskom, ktorý bol výkonnejší ako disk 7200-otáčkový a taktiež sa mi pri poslednom nákupe 2.5″ diskov ukázalo, že ani 7200-otáčkový disk nemusí byť zákonite hlučný a vibrovať tak, že vás pri práci bude rušiť. Druhá vec je rozhranie, akým disk prepájate. Prenosové rýchlosti cez USB 2.0 sú iné ako cez FireWire, no a samozrejme iné, ako keď máte disk priamo v počítači. Do testu som teda zaradil z každého niečo a test rozdelil na 3 časti. V tej prvej sa pozrieme na prenosové rýchlosti aké disky dosahujú, keď sú brzdené rozhraním USB 2.0, v druhom teste sa objavia 2 modely My Book Studio zapojené cez FireWire 800, no a nakoniec som otestoval aj 3 druhy interných diskov, aby ste získali akú-takú predstavu, o koľko je externé zapojenie pomalšie ako interné.
Do testu som teda vybral nasledujúce disky:
z 3.5″ diskov to sú:
- 2TB externý disk Western Digital My Book Studio s možnosťou zapojenia cez USB 2.0 alebo 2x FireWire 800, teda to najrýchlejšie prepojenie, čo na vašom Macu môžete v aktuálnej dobe použiť.
- 1TB verziu Western Digital My Book Studio s rovnakými konektormi.
- 1TB Western Digital My Book Home Edition, (o generáciu staršia verziu ako tie súčasné) s USB 2.0, 2x FireWire 400 a eSata (bohužiaľ, rýchlosť eSata som nemal možnosť reálne vyskúšať).
- interný disk v mojom iMacu, teda 1TB Seagate Barracuda.
z 2.5″ diskov som vybral:
- externý disk A-Data s kapacitou 640GB a rozhraním USB 2.0.
- 500GB Western Digital Scorpio Blue v externom boxe s rozhraním USB 2.0.
- 320GB Western Digital Scorpio Black v externom boxe s rozhraním USB 2.0.
- 500GB Western Digital Scorpio Black používaný ako interný disk v MacBooku Pro.
- no a nakoniec SSD OCZ Vertex 2 60GB používaný ako interný disk v MacBooku Pro.
Western Digital My Book Studio
Externé disky WD My Book Studio je séria, ktorá je primárne určená pre počítače Apple. Od ostatných sérií sa líši nielen dizajnom, ale aj ponukov rozhraní a diskom predformátovaným na HFS+. Okrem štandardného USB 2.0 tu nájdeme aj 2 konektory FireWire, ktoré vám zaručia tie najvyššie možné rýchlosti, ako dáta medzi vašim Macom a externým diskom posielať. To všetko sa nachádza v plastovom boxe, ktorého povrchová úprava je imitáciou hliníku MacBookov Pro. Pokiaľ by ste zatúžili po celokovovom tele, je tu pre vás My Book Studio LX. Disk môžete na stôl umiestniť do zvislej alebo vodorovnej polohy a vďaka displayu, resp. štítku na čelnej strane disku, máte prehľad o aktuálnom stave zaplnenia disku, spolu s jeho názvom. Každý disk si môžete takto ľubovolne pomenovať a to nastavením v dodávanom softvéri WD Smart Ware. Tento softvér ponúka okrem nastavenie spomínaného názvu na štítku či zaheslovania disku aj obnovu súborov a možnosť zálohovania dát. Osobne na zálohy využívam TimeMachine, takže som okrem nastavenia štítku nič z ponúkaných možností nevyužil a úprimne, dodávaný sotfvér ma skôr otravuje hlavne z toho dôvodu, že sa po každom zapojení a odpojení disku automaticky spúšťa a zbytočne zdržuje. Pod štítkom sa nachádza malá biela led dioda, ktorá vás informuje o činnosti či vypnutí/zapnutí disku. Okrem spomínaného WD Smart Ware nájdete na disku aj zaujímavé ovládače WD+Turbo pre USB a FireWire, ktorých úlohou je zvýšiť prenosové rýchlosti. Síce som bol zozačiatku voči týmto ovládačom skeptický, samotné testy ukázali, že disku na rýchlosti trochu pridávajú. Celkovo hodnotím súčasnú verziu WD My Book Studio veľmi dobre a s diskami som, až na otravný softvér, veľmi spokojný. Nedá mi ale nespomenúť problémy, ktoré sa s týmito diskami objavujú a to hlavne v 1TB verzii a ktoré postihli aj mňa. Jedná sa o nejaký divný a hlavne hlučný idle mód diskov. Pokiaľ sa s diskom pracuje, funguje a vydáva zvuky také, aké sú u diskov bežné. Keď je disk chvíľu v nečinnosti, je dokonale tichý, no po pár sekundách nečinnosti začne vydávať permanentné a dosť nepríjemné zvuky, s ktorými majú problémy viacerí užívatelia, ako som sa dočítal aj na zahraničných fórach. Zvláštne na tom je, že problém sa týka vačšinou len 1TB verzie. Prvý disk som teda úspešne reklamoval, domov mi prišiel disk čisto nový, no bohužiaľ, s rovnakým problémom. Okrem toho vlastním ešte dve 2TB verzie a tie sú ukážkovo tiché.
Western Digital My Book Home
Testovaný My Book Home je o jednu generáciu staršia modelová rada súčasných externých diskov My Book, ktorá bola určená pre „bežné“ počítače, resp. disky boli predformátované na NTFS a na tele neponúkali FireWire 800. Od súčasných sérií sa líši jemnými dizajnovými úpravami, no hlavne rozhraniami a takisto k nej ešte nebol dodávaný otravný WD Smart Ware. Ako som už naznačil, súčasná séria sa líši hlavne rozhraním a iné konektory okrem USB 2.0 či 3.0 by ste hľadali marne. Uznávam, že USB 3.0 je to najlepšie, čo na externom disku môžete mať, no vzhľadom na zatiaľ slabšie rozšírenie by sa aspoň jeden FireWire port či eSata, rovnako ako na starších modeloch, zišli, čo by určite ocenili aj majitelia starších počítačov.
A-Data Nobility Series
Posledným z čistokrvných externých diskov v mojom porovnaní je A-Data NH92, externý disk, ktorý získal niekoľko ocenení, okrem iného aj za dizajn, ktorý je veľmi podarený a aj z mojej strany bol dôvodom, prečo som disk kúpil. Samotný disk sa totižto skrýva v len o niečo väčšom hliníkovom obale s hrúbkou 12mm a váhou 152 gramov. Na boku disku sa nachádza USB konektor a prepojenie s počítačom zaisťuje zdvojený USB kábel, ktorý disk pomáha zásobovať dostatkom energie. Okrem káblu a samotného disku ďalej v balení nájdete elegantné koženné púzdro s bočnými výrezmi, disk je teda možné používať aj s obalom, aj bez. S diskom som veľmi spokojný, pretože je malý, zákazník má na výber z viacerých kapacít a pokiaľ často cestujete a potrebujete mať disk so sebou, určite oceníte aj koženné púzdro v základom balení.
Zvyšné disky v porovnaní sú všetko samostatne dostupné disky umiestnené buď v externom boxe s USB rozhraním, alebo umiestnené priamo v počítači. Tými boli tie najvýkonnejšie 2.5″ disky z dielne Western Digital, konkrétne 500GB a 320GB verzia Scorpio Black. Oba disky rotujú rýchlosťou 7200rpm a hoci sú na tom výkonovo plus/mínus podobne, v hlučnosti a vibráciách sa podstatne líšia. Kým staršia, 320GB verzia je typickým predstaviteľom 7200 otáčkových diskov, teda oproti 5400-kám hlučnejšia a citeľne vibrujúca, 500GB Scorpio Black by som podľa zvuku a vibrácií od 5400-otáčkovej verzie, teda 500GB Scorpio Blue, odlíšiť nedokázal, resp. len veľmi ťažko. Výkonnostne má ale verzia Black od Blue navrch, ako aj potvrdzujú moja merania a hlavne dlhodobejšie používanie v praxi. To ale neznamená, že Scorpio Blue je disk pomalý, práve naopak. 500GB Scorpio Blue dokáže držať krok aj so 7200-otáčkovými diskami od iných výrobcov, či ich dokonca v „real-life“ testoch predčiť. Posledným testovaným 2.5″ diskom je typu SSD od výrobcu OCZ, konkrétne 60GB model Vertex 2. Myslím, že pre čitateľov je zbytočné písať, v čom sa SSD od klasických diskov líšia. Áno, SSD má násobne vyššie prenosové rýchlosti a takmer nulovú odozvu a pritom ich niet anilen počuť. Ako ale aj náš test a skúsenosti pri bežnej práci ukázali, SSD nemusí byť pri každej činnosti zákonite rýchlejšie. No a dostávame sa k poslednému disku, a tým je 3.5″ 1TB Seagate Barracuda 7200.12, nachádzajúci sa v aktuálnom modeli 27″ iMacu. Disk som sa rozhodol zaradiť do testu pre predstavu, ako sú na tom rýchlostne klasický 3.5″ disk v porovnaní s jedným z najlepších, ak nie najlepším, 2.5″ klasickým diskom a samozrejme spomínaným SSD. No a teraz ku konkrétnym číslam a grafom.
Testy prebiehali následovne: každý disk (s výnimkou diskov interných), bol zapojený príslušným rozhraním na 27” iMac (core i7 2.93GHz, 12GB RAM) a pomocou aplikácie Xbench 1.3 boli vykonané 3 testy daného disku. Test, v ktorom disk získal najnižšie a najvyššie skóre bol ignorovaný, to znamená, že pokiaľ boli výsledné skóre 50, 49, 51, do tabuľky som použil čísla z testu s výsledným skóre 50.
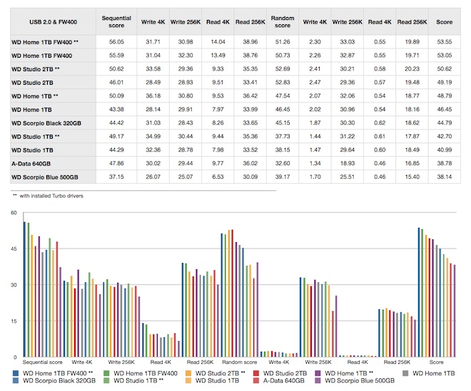
FireWire 400 & USB 2.0
*Kliknite pre graf v plnej veľkosti
Prvým grafom je porovnanie rýchlostí diskov zapojených pomocou rozhrania USB 2.0, resp. v prípade WD Home aj FireWire 400. Ako máte možnosť vidieť, disk podáva v prípade použitia FireWire lepšie výsledky ako za použitia USB 2.0, hoci USB 2.0 má teoretické rýchlosti vyššie. Pre mňa nemilým prekvapením boli výsledky 1TB verzie WD Studio, ktorý bol v prípade použitia USB rozhrania pomalší, ako o generáciu starší WD Home a v rýchlosti ho dokonca predčil aj 2.5” Scorpio Black, ktorý je už na trhu viac ako dva roky a to je v prípade 2.5” diskov veľmi dlhá doba. Nie náhodou patrí Scorpio Black aj v tejto dobe k tomu najlepšiemu, čo sa dá na poli 2.5” diskov kúpiť.
FireWire 800
*Kliknite pre graf v plnej veľkosti
V nasledujúcej tabuľke boli oba WD Studio zapojené cez FireWire 800 a ako máte možnosť vidieť, nárast v rýchlosti je oproti USB 2.0 a FireWire 400 značný, hlavne u 2TB verzie s nainštalovanými ovládačmi Turbo. V tejto fáze testu som skúsil jeden pokus navyše a to, či vzájomné poprepájanie viacerých diskov má vplyv na prenosovú rýchlosť. FireWire totižto umožňuje poprepájať niekoľko diskov a dáta medzi nimi tečú, aj keď je disk vypnutý. To znamená, že pokiaľ mám prepojené 4 disky, pričom disk 1 je zapojený na iMac, disk 2 na disk 1, disk 3 na disk 2 atď, môžem ich používať všetky naraz, hoci na iMac je zapojený len jeden z nich. Pokiaľ chcem pracovať s akýmkoľvek diskom, stačí zapnúť len ten a dáta tečú. Ako test ukázal, toto zapojenie nemá na rýchlosť prenosu takmer žiaden vplyv a demonštrujú ho výsledky s jednou hviezdičkou (dáta z WD Studio 2TB tiekli cez druhé, vypnuté Studio).
Interné disky
*Kliknite pre graf v plnej veľkosti
Na záver som si nechal porovnanie interných diskov, aby ste mali aspoň akú takú predstavu, aké rýchlosti tieto disky dosahujú v porovnaní s tými externými, resp. keď sú brzdené rozhraním.
