Zavřít reklamu

Macbook AIR M1, super cena

Zpět na výpis
Moravskoslezský kraj   |   22. 03. 2024
PoužitéOsobní odběr
Kontakty

Upozorňujeme uživatele, že provozovatel neručí za prodávající ani nakupující a poskytuje pouze prostor pro zveřejnění inzerátů. Doporučujeme pouze osobní předáni zboží.

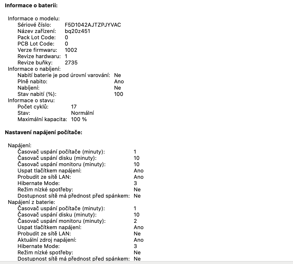
Prodám MacBook Air 13" Retina CZ M1 2020,
MacBook – Apple M1, 13.3" IPS lesklý 2560 × 1600 , RAM 8GB, Apple M1 7jádrová GPU, SSD 256GB, podsvícená klávesnice, webkamera, USB-C, čtečka otisků prstů, WiFi 6, baterie 49,9 Wh, Hmotnost 1,25 kg, MAC OS.
Minimálně používaný. Včetně nabíječky.
Jedná se o M1 takže luxusní výdrž na baterku až 18-20h- kapacita baterky 100%! Je ťuknuty – zohledněno v ceně.
Dohoda možná